La ausencia de certidumbre en el precio de los activos financieros transados en el mercado de capitales lleva a los inversionistas a estimar el riesgo sobre la base de la distribución normal de probabilidades (Gómez, C. & García, M., 2017). Mediante estos cálculos, las decisiones son tomadas en relación con el retorno esperado y el riesgo asociada a dicha esperanza estadística.
Según los análisis de Gómez & García (2017), Markowitz piensa que una cartera diversificada presenta mayor retorno que una cartera sin diversificación. Sin embargo, la idea de valor presente en la cartera de Markowitz está ausente. Esto trae consigo un problema importante no solo teórico, sino que también de carácter práctico, puesto que tanto el retorno esperado como el riesgo no dan a conocer el espacio inter temporal del rendimiento de dicha diversificación. Por otra parte, esta diversificación hace alusión solo al riesgo no sistemático y no explica los impactos de riesgo sistemático sobre las variables de interés del inversionista: retorno esperado y riesgo externo de la cartera. Markowitz está consciente que su modelo de diversificación eficiente elimina solo una parte del riesgo total. En este sentido, Sharpe (1964) en su documento titulado: “Precios de los activos de capital: Una teoría del equilibrio del mercado bajo condiciones de riesgo” busca resolver dichos problemas. Para esto Sharpe señaló los siguientes supuestos:
- Existe una tasa libre de riesgo a la que todos los inversionistas pueden prestar y pedir prestado en iguales término.
- Los inversionistas tienen un comportamiento homogéneo frente a las rentabilidades esperadas, las varianzas y las covarianzas, de las diferentes alternativas de inversión.
- La información no tiene costo alguno y todos los inversores tienen el mismo acceso libre a ella.
- El mercado no tiene imperfecciones como impuestos, leyes o restricciones sobre ventas.
Gómez & García (2017) señalan que Markowitz piensa que los inversionistas solo adoptan decisiones basadas en dos parámetros de la distribución de probabilidades: el valor esperado y la desviación estándar. También indican que Sharpe (1964) busca una expresión algebraica donde el activo esté relacionado con un retorno más objetivo, que considere todos los riesgos del mercado de valores y no solo el riesgo combinado de la cartera. Es decir, lo que se busca comparar es la cartera del inversionista con la cartera del mercado.
El objetivo del modelo de valorización de activos (CAPM) es conocer el comportamiento de un papel financiero en relación con el comportamiento del mercado de capitales. Por tanto, el resultado es producto del portafolio del mercado y el portafolio del inversionista, el cual contempla el retorno esperado debido al riesgo asociado. Para esto Sharper (1964) define sus primeros conceptos de la siguiente manera:
Primero: Sharpe concuerda con Markowitz en que el inversionista obtendrá su utilidad de sus activos financieros sobre la base de la relación entre retorno y riesgo:

La discusión que plantea esta expresión y su desarrollo es que el valor presente de los flujos futuros está ausente en el análisis. No obstante, Sharpe indica que R es la tasa de retorno de la inversión, donde representa el monto de su riqueza al inicio de la decisión de inversión y representa el monto final obtenido por dicha inversión:

Esta expresión representa una ganancia entre el momento de inversión inicial y el momento en que el inversionista liquida el activo financiero. Sin embargo, no aborda la duración del tiempo necesario para obtener dicha riqueza. Así, podría decirse que R es una tasa de ganancia con una intertemporalidad indefinida.
Segundo: El portafolio está compuesto por dos grupos de activos, uno representando el porcentaje invertido en un portafolio del mercado, expresado como 1-a, y el resto colocado en un activo con diversificación ineficiente, expresado con la letra a:


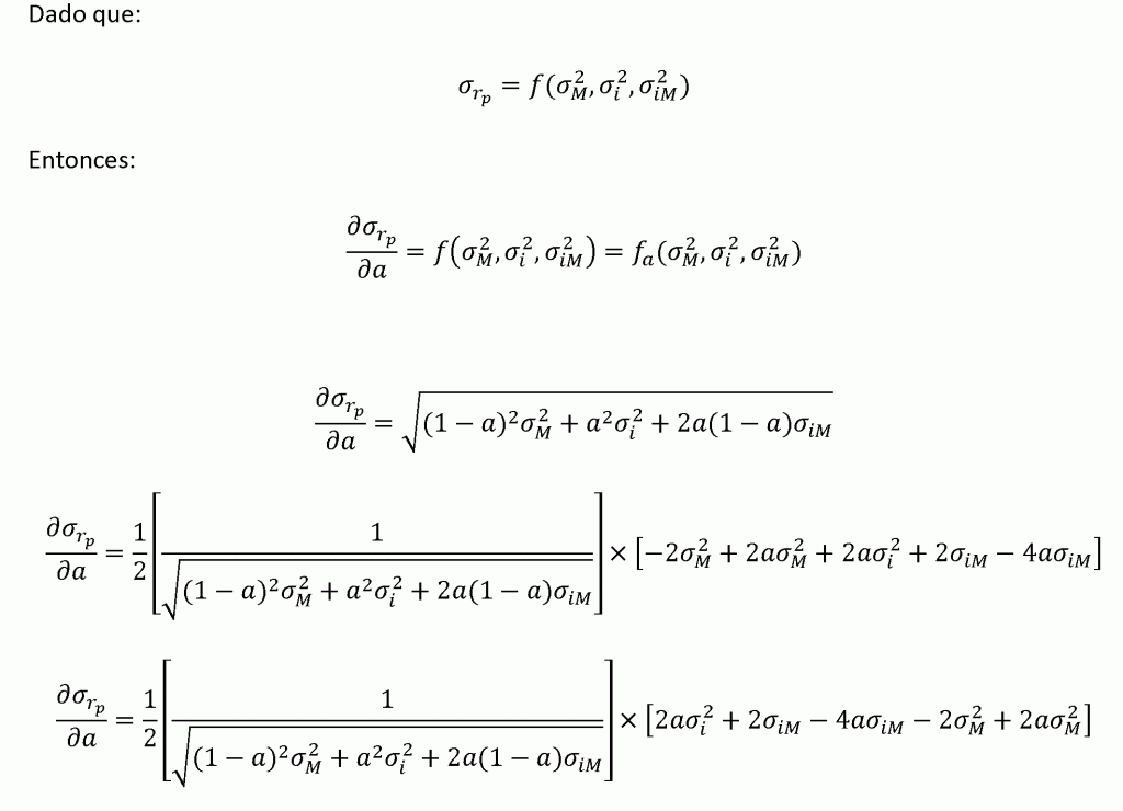
Tercero: La rentabilidad y riesgo del portafolio del activo está contenida en la rentabilidad y riesgo propio del mercado. Ahora bien, se requiere conocer la tasa de variación de rentabilidad del portafolio cuando cambia la participación entre ambos porcentajes de inversión en activos financieros:

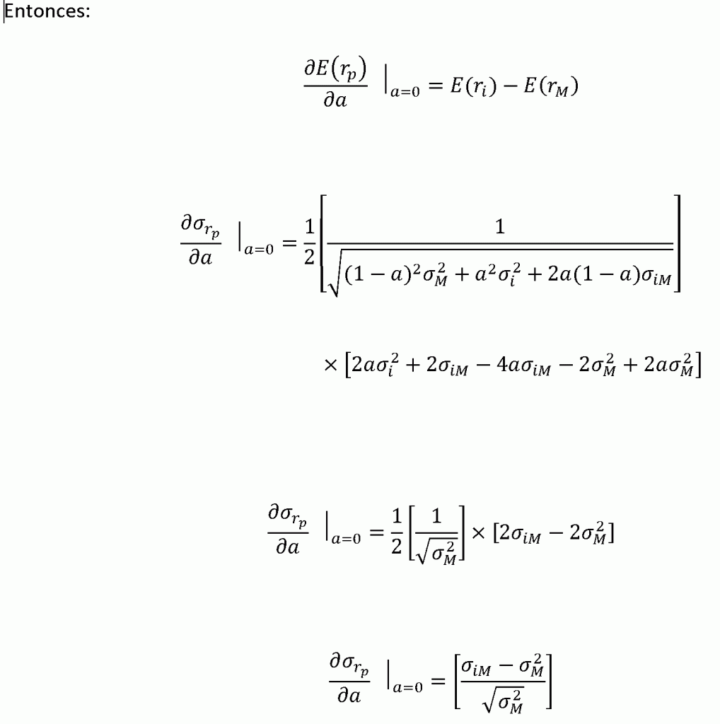
Lo que se requiere ahora es conocer el cambio de la E (rp) cuando tiende a la tangente 0 respecto al activo financiero i:

Ahora bien, la pregunta es cómo cambia el riesgo del portafolio cuando cambia el riesgo del activo financiero i:

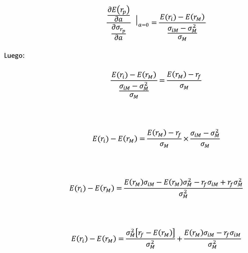
Cuarto: La E(rp) tal como se ha expuesto, indica que porción de fondos disponibles para ser invertidos en papeles en el mercado de capitales, representa el hecho que existe en dicho mercado, una combinación de activos en cierto estado de ineficiencia en la E(rp). Esto lleva a pensar que dicha proporción de va en busca de utilidades extraordinarias, por tanto, los retornos del mercado no están en equilibrio, puesto que uno de los supuestos es que las necesidades o esperanzas acerca del futuro de los diferentes activos son relativamente homogéneas. Por esta razón, se evaluará la derivada parcial de E(rp) cuando alfa =0. Es decir, en equilibrio.


Quinto: Sharpe reconocía la existencia de activos sin riesgos, denominadas tasas libres de riesgo, las cuales también eran parte de activos que conformaban un portafolio. De esta manera, la gráfica que relaciona el retorno y el riesgo se expresa de la siguiente manera:

Con lo anterior, debía establecerse el punto M, la cual representa la intersección entre la pendiente intercompensatoria riesgo-rentabilidad y Línea de Retorno del Mercado de Capitales, la cual se denota así:

La pendiente intercompensatoria evaluada en el punto M es:


Ramírez & Serna (2012) presentan el análisis de los supuestos del modelo CAPM, en el cual distinguen los siguientes elementos:
- Los inversores no pueden afectar los precios de los activos con sus negociaciones individuales.
- Todos los inversores piensan mantener sus inversiones durante un horizonte temporal idéntico.
- Los inversores forman carteras de una serie de activos y tienen acceso a oportunidades ilimitadas para obtener y ofrecer créditos a la tasa libre de riesgo.
- Los inversores no pagan impuestos sobre la rentabilidad ni gastos de transacciones cuando negocian los títulos.
- Todos los inversores intentan construir carteras de fronteras eficientes, lo cual indica que son optimizadores racionales de media-varianza.
- Todos los inversores analizan los activos de la misma forma y comparten la visión de la economía mundial, lo que se denomina expectativas homogéneas.
- Los activos son infinitamente divisibles y todos son negociables.
- Se permiten las ventas en corto sin límite.
En los mercados desarrollados el debate no se centra en si la beta es una medida adecuada del riesgo, sino en cuáles son las variables adicionales relevantes en la determinación del rendimiento de una acción. Sin embargo, en los mercados emergentes el uso del CAPM es más cuestionado, puesto que los supuestos base del modelo se encuentran ampliamente desfasados respecto a la estructura y nivel de desarrollo de los mercados financieros, ya sea, por su reducido tamaño, lo que implica la inexistencia de un stock de transacciones mínimas en los mercados, de modo que garanticen flujos de inflación y mecanismos de control, principalmente a las actuaciones de los arbitradores y especuladores. Este nivel de transacción mínima se refiere a los efectos indeseados en la formación de los precios, tanto, en el volumen de transacción diaria, los problemas de agencia de dichas transacciones, la falta de mitigación al uso de información privilegiada, lo que, en su conjunto, afecta los niveles de predictibilidad y el efecto de colas pesadas en las distribuciones de riesgos de los modelos ajustados para la valoración de activos.
En línea con estas ideas, Ramírez & Serna (2012) concluyen ante la aplicación de este modelo en el mercado de capitales de Colombia para los años 2003 – 2010, que existen dificultades para la obtención de información relevante disponible en la Bolsa de Valores de Colombia, lo cual afecta a los supuestos básicos del modelo, respecto al acceso de la información sin costos de transacción. Esta idea es compartida por Zúñiga (2015), pero en los mercados de Chile. El investigador concluye que la información presenta un comportamiento inestable, también, el bajo número de acciones que cotizan en el mercado de capitales; por otra parte, los estudios de Márquez (2014) muestran que el parámetro beta, basado en datos históricos, presenta variaciones bruscas y sin un patrón que permita predecir un factor estimado. Este hecho es de peso, sobre todo si se desea evaluar proyectos de inversión mediante la determinación del WACC. Otro aspecto deficitario del modelo es lo referido a la homogeneidad de las expectativas de los inversores, puesto que como indica Fernández (2017) los inversores tienen diferentes expectativas de retorno y de riesgo, por lo que el supuesto de homogeneidad de expectativas “desvirtúa la sensatez del modelo”. Por la línea contraria Mascareñas (2015) defiende la utilidad del modelo CAPM, indicando que es un triunfo teórico y debe seguir enseñándose en teoría de cartera y valoración de activos. Sin embargo, agrega que la atractividad del modelo presenta problemas empíricos de importancia, los que pueden invalidad completamente su uso, en caso de no ser pesquisados y realizados los ajustes al modelo en cuestión. Reconoce que el modelo CAPM es bueno al momento de jerarquizar proyectos de inversión comparado con la idea que el modelo entregue un adecuado costo de capital, ya que el error en la estimación de la prima por riesgo del mercado podría sesgar el valor del rendimiento esperado (p.23).
Referencias
Fernández, P. (abril de 2017). CAPM: un modelo absurdo. Obtenido de http://ssrn.com/abstract=2523870.
Philippatos, G. & Ramos, R. (1990). Administración financiera para empresas en países en vías de desarrollo. Editorial Universitaria, Universidad de Santiago de Chile. Vol. 3.
Gómez, C., & García, M. (03 de abril de 2017). Ideas. Obtenido de https://ideas.repec.org/p/col/000430/008905.html#cites
Marín, J., & Rubio, G. (2011). Economía Financiera. Barcelona: Antoni Bosh editor S.A.
Márquez, F. (2014). La inestabilidad de la Beta como medidor del riesgo sistemático y sus implicaciones en el modelo de valuación CAPM. Madrid: Facultad de Ciencias Económicas y Empresariales. Universidad Pontificia ICAI-ICADE.
Mascareñas, J. (2015). Gestión de Carteras II: Modelo de Valoración de Activos. Madrid: Universidad Complutense de Madrid.
Medina, L.A. (2003). Aplicación de la teoría del portafolio en el mercado accionario colombiano. Cuaderno de Economía, XXII (39), 129-168.
Ramírez, A., & Serna, M. (2012). Validación empírica del modelo CAPM para Colombia 2003 – 2010. Ecos de economía (34), 49-74.
Zúñiga, S. (2015). El CAPM en Chile. Evidencia de regularidades empíricas. Revista Escuela de Administración y Negocios, 5-13.